產品中心
相關產品
中藥標準品
|
產品編號 |
英文名稱 |
CAS號 |
包裝 |
|
Y3711 |
Catalpol |
2415-24-9 |
可根據客戶要求訂制 |
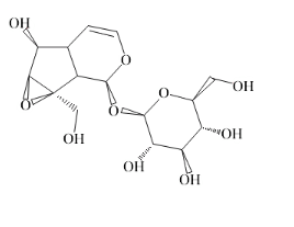
產品編號:Y3711
英文名稱:Catalpol
CAS號:2415-24-9分析標準品,≥97%(HPLC)
分子式 C15H22O10 分子量362.33
基本信息:
屬性
密度 1.532
存貯條件 儲存溫度-20°C
描述
別名 梓醇 ;
應用 主要功能是刺激腎上腺皮質激素的生產,從而增加了生產性荷爾蒙。梓醇也具有抗發炎活性,并已證實會增加腎上腺產生的雄性激素的生產,從而導致肌肉塊增大。
密度 1.532
存貯條件 儲存溫度-20°C
描述
別名 梓醇 ;
應用 主要功能是刺激腎上腺皮質激素的生產,從而增加了生產性荷爾蒙。梓醇也具有抗發炎活性,并已證實會增加腎上腺產生的雄性激素的生產,從而導致肌肉塊增大。
