產品中心
相關產品
中藥標準品
|
產品編號 |
英文名稱 |
CAS號 |
包裝 |
|
Y3597 |
Ginsenoside Rg1 |
22427-39-0 |
可根據客戶要求訂制 |
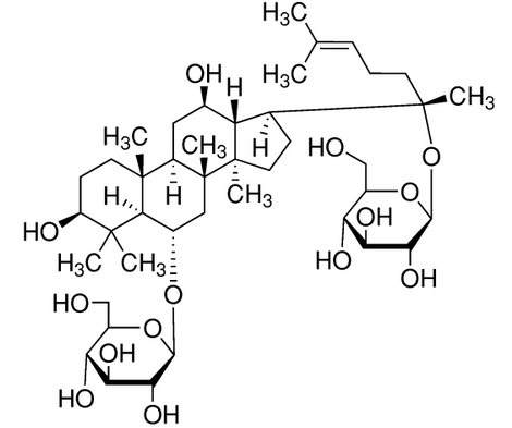
英文名稱:Ginsenoside Rg1
CAS號:22427-39-0
分析標準品,>98%
分子式 C42H72O14 分子量801.01

基本信息:
密度 1.33
存貯條件 儲存溫度 -20°C
描述
別名 人參皂甙 Rg1 ;人參皂苷Rg1;(3β,6α,12β)-3,12-Dihydroxydammar-24-ene-6,20-diyl bis-β-D-glucopyranoside
