產品中心
中藥標準品
|
產品編號 |
英文名稱 |
CAS號 |
包裝 |
|
Y3589 |
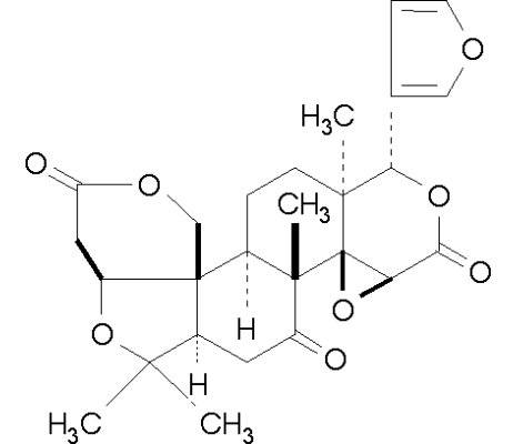
Evodine |
1180-71-8 |
可根據客戶要求訂制 |
英文名稱:Evodine
CAS號:1180-71-8
分析標準品,>98%(HPLC)
分子式 C26H30O8 分子量470.51

基本信息:
密度 1.39
熔點 271-272°C
存貯條件 儲存溫度2-8°C
描述
產品介紹 檸檬苦素是一種三萜苷元(triterpenoid aglycone),來自于柑桔類水果.
別名 吳茱萸內酯 ;檸檬苦素;Limonin Limonoic acid 3,19:16,17 dilactone
生化機理
Limonin is a triterpenoid aglycone that is a bitter principle of citrus fruits. Limonin is chemically induced carcinogenesis inhibitor and HIV-1 replication inhibitor. Limonin has anti-proliferative, proapoptotic activity on several cancer cell lines and inhibits azoxymethane-induced colon cancer in rats. Limonin also inhibits HIV-1 replication in culturedf monocytes, macrophages, and mononuclear cells, perhaps by inhibition of HIV-1 protease activity.
應用 對幾個腫瘤細胞系具有抗增殖、抗凋亡活性,并抑制氧化偶氮甲烷(azoxymethane)誘發的大鼠結腸癌。依靠抑制HIV - 1蛋白酶活性,抑制HIV - 1病毒在單核細胞,巨噬細胞和單核細胞的復制,
