產品中心
相關產品
中藥標準品
|
產品編號 |
英文名稱 |
CAS號 |
包裝 |
|
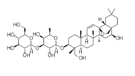
Y3913 |
Saikosaponin A from Bupleurum falcatnum |
20736-09-8 |
可根據客戶要求訂制 |
英文名稱:Saikosaponin A from Bupleurum falcatnum
CAS號:20736-09-8
分析標準品,≥98%
分子式 C42H68O13 分子量780.98

基本信息:
密度1.36
存貯條件 貯存溫度2-8℃
描述
別名 柴胡皂苷A ;柴胡皂甙A;
存貯條件 貯存溫度2-8℃
描述
別名 柴胡皂苷A ;柴胡皂甙A;
