產品中心
相關產品
中藥標準品
|
產品編號 |
英文名稱 |
CAS號 |
包裝 |
|
Y3799 |
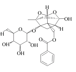
Paeoniflorin |
23180-57-6 |
可根據客戶要求訂制 |
英文名稱:Paeoniflorin
CAS號:23180-57-6
分析標準品,≥98%
分子式 C23H28O11 分子量480.46

基本信息:
旋光率 -14 ° (C=1, MeOH)
密度1.63
存貯條件 室溫保存
描述
別名 芍藥苷 ;芍藥甙 ;5beta-[(Benzoyloxy)methyl]tetrahydro-5-hydroxy-2-methyl-2,5-methano-1H-3,4-dioxacyclobuta[cd]pentalen-1alpha(2H)-yl-beta-D-glucopyranoside
應用 來自芍藥的根。抗心肌缺血、具抗凝抑制血小板聚集作用;解痙作用;鎮痛、鎮靜作用;抗炎、抗潰瘍作用;保肝作用;調節免疫力作用和抗高血糖作用;耐缺氧作用等。
