產品中心
相關產品
中藥標準品
|
產品編號 |
英文名稱 |
CAS號 |
包裝 |
|
Y3793 |
Protopanaxdiol |
7755-01-3 |
可根據客戶要求訂制 |
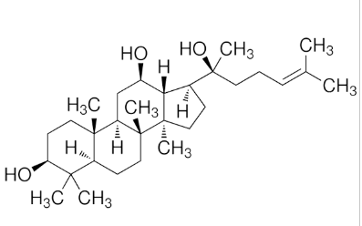
英文名稱:Protopanaxdiol
CAS號:7755-01-3
分析標準品,≥98%
分子式 C30H52O3 分子量460.73

基本信息:
密度1.036
存貯條件 儲存溫度2-8℃
描述
產品介紹 Protopanaxadiol is a ginseng saponin that enhances axonal and dendritic formation activity. Shown to have characteristic effects on the proliferation of human leukemia cells in vitro.
別名 ;
應用 Protopanaxadiol [20(R)-protopanaxadiol], a dammarane-type tetracyclic terpene sapogenin, may be used to study its binding to and modulation of endothelial cell function via glucocortoid (GR) and the oestrogen (ER) receptors. Protopanaxadiol may be used to study its catabolism by cytochrome-P450s. 20(R)-protopanaxadiol may be used in comparative studies versus 20(S)-protopanaxadiol.
存貯條件 儲存溫度2-8℃
描述
產品介紹 Protopanaxadiol is a ginseng saponin that enhances axonal and dendritic formation activity. Shown to have characteristic effects on the proliferation of human leukemia cells in vitro.
別名 ;
應用 Protopanaxadiol [20(R)-protopanaxadiol], a dammarane-type tetracyclic terpene sapogenin, may be used to study its binding to and modulation of endothelial cell function via glucocortoid (GR) and the oestrogen (ER) receptors. Protopanaxadiol may be used to study its catabolism by cytochrome-P450s. 20(R)-protopanaxadiol may be used in comparative studies versus 20(S)-protopanaxadiol.
