產品中心
農業和環境標準品
|
產品編號 |
英文名稱 |
CAS號 |
包裝 |
|
Y0161 |
Spiramycin |
8025-81-8 |
可根據客戶要求訂制 |
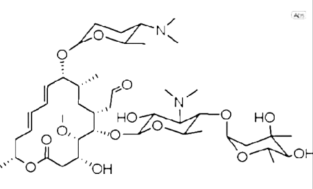
產品編號:Y0161
英文名稱:Spiramycin
CAS號 8025-81-8
分析標準品
分子式 C43H74N2O14 分子量843.06
基本信息:
旋光率 81 ° (C=2, 10% AcOH)
密度 1.2100
熔點 134-137°C
存貯條件 儲存溫度: 2-8°C
描述
產品介紹 是螺旋霉素Ⅰ,Ⅱ,III的混合物。含量依次為63%±10%,24%±15%,13%±5%。本品為白色至淡黃色,味苦。溶于氯仿等多種有機溶劑,微溶于水。
別名 螺旋霉素 ;Formacidine
