產品中心
相關產品
生命科學標準品
|
產品編號 |
英文名稱 |
CAS號 |
包裝 |
|
Y0714 |
Erythromycin ethyl succinate |
1264-62-6 |
可根據客戶要求訂制 |
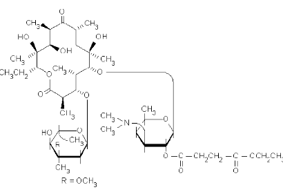
產品編號:Y0714
英文名稱:Erythromycin ethyl succinate
CAS號 1264-62-6
分析標準品
分子式 C43H75NO16 分子量862.05
基本信息:
密度1.21
描述
別名琥乙紅霉素 ;紅霉素琥珀酸乙酯;
應用抗生素類藥,主要用于青霉素耐藥的葡萄球菌的感染。
- 上一條:順式-5,8,11,14,17-二十碳五烯酸(EPA)
- 下一條:(-)-莽草酸
